No dia 16 de abril, pelas 14h00, o Departamento de Física do ISEL promove no Auditório A o seminário "Hydrodynamics of particle-hole symmetric systems: a combined kinetic theory and Quantum Monte Carlo approach".
O evento terá como orador Kitinan Pongsangangan (Mahidol University - Thailand).
Abstract:
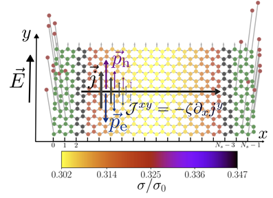
The emergence of hydrodynamic behaviour in electronic flow within clean, particle-hole-symmetric systems at half filling is a nontrivial problem.
Navier-Stokes (NS) equations describe the momentum flow, while experimental measurements typically capture the current flow profiles. However, in particle-hole-symmetric systems, electric current and momentum flow are entirely decoupled, because electrons and holes move in opposite directions with equal distribution functions. This makes it challenging to link NS equations to observed flow patterns.
In this talk, I will show that the hydrodynamic behaviour of the charge current at half filling can emerge despite the absence of momentum flow. By combining Boltzmann transport theory with numerically exact quantum Monte Carlo simulations of clean graphene samples, we show that NS-type equations can be derived directly for the charge current, eliminating the need for any additional mechanism coupling the velocity field and charge current in explaining the experimentally observed hydrodynamic flow profiles in graphene at half filling.
We show that a new transport quantity—the current diffusion coefficient—replaces viscosity and expect this description to be valid for any particle-hole-symmetric system.
Our results provide new insights into the interpretation of experimental data and demonstrate how quantum Monte Carlo calculations can serve as an alternative to experiments in transport measurements to verify the kinetic theory results.
